明升官网

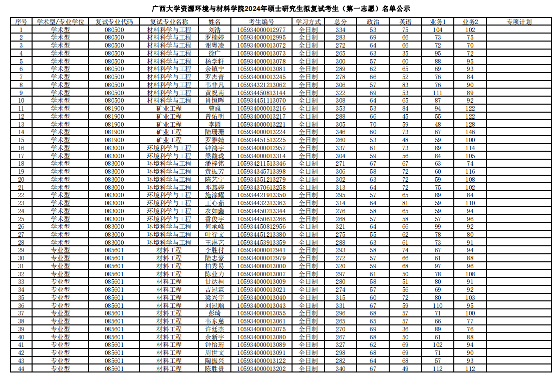
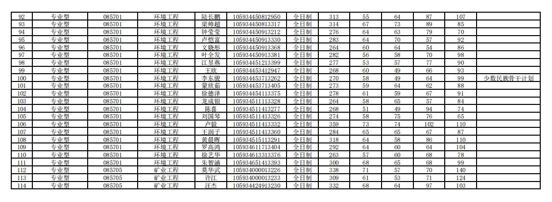
当前位置: 主页 >> 通知公告 >> 正文 通知公告
联系我们

党政办公室:0771-3232200
教学办公室:0771-3232274
研究生办公室:0771-3234560
学生工作组:0771-3225257
校友办公室:0771-3227166

地址:广西南宁市西乡塘区大学路100号
邮编:530004
Email:[email protected]

学院微信公众订阅号

版权所有:Copyright@2017   明升官网-明升88